网站无障碍
适老版
繁體版
Rongcheng District People's Government of Jieyang City
搜索
首页
榕城要闻
政务公开
政务服务
政民互动
走进榕城
首页
>
政府公告
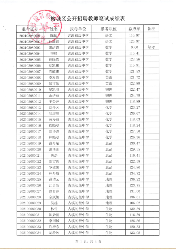
榕城区公开招聘教师笔试成绩公示
来源:揭阳市榕城区教育局
时间:2021-02-22 19:51
【字体:
大
中
小
】
榕城区公开招聘教师笔试成绩表.xls
相关附件: